互感器二次压降及负荷测试仪的电能计量装置检定规程和有关技术法规,对电压互感器二次回路压降引起的误差均有规定,必须准确、快速地测量。ZC-105C互感器二次压降及负荷测试仪就是适应这些特点而开发。
在电厂及变电站电能计量回路中,室外的电压互感器离装设于控制室配电盘上的电能表有较远的距离,一般在200~400 m左右,整个回路有接线端子排、开关、熔断器及导线,必然存在着接触电阻、导线电阻及分布参数,从而就存在着一定的回路阻抗,造成电压互感器与电能表间的二次回路上有电压降。电压互感器二次回路压降包括电缆、端子接触电阻、熔线、中间继电器接点、空气小开关等电压降之总和。电压互感器二次电压降引起的误差,就是指电压互感器二次端子和负载端子之间电压的幅值差相对于二次实际电压的百分数,以及两个电压之间的相位差的总称。
现场运行时,常有大电流,高电压的存在,加之由于现在PT侧和仪表侧的距离很远,所以要用放线车,放线车本身也会带来一定的误差,所以要进行自校。

(1)开机按任意键进入主菜单,选择压降自校(选择方法:上下键可以移动光标,确定键选择,取消键退出。)。
(2)选择三相四线自校。
(3)互感器二次压降及负荷测试仪中的数据是上次或出厂时保存的压降自校值,按确定互感器二次压降及负荷测试仪就开始进行自校。
(4)测试结束后,如果需要保存数据,按数字键"1"重新测量,按数字键"2"存储。
(5)关机拆线。

(1)开机按"确定"键入主菜单,选择压降测试菜单,进入后选择测试方式(有PT侧和表计侧,选择方法是光标移动到要选择的内容,按确定键后在下拉列表中按上下键移动光标,确定键选择),自校状态(带自校和不带自校)选择将决定互感器二次压降及负荷测试仪是否减去自校时测试的现场误差值。输入各相参数。

(2)光标移动到确定上,按确定键进入压降测试选择菜单,选三相四线自动测试,进入三相四线测试选择菜单,选择三相自动测试。

(3)如需重测,按数字键"1"即可
(4)如需存储按数字键"2"即可
(5)关机,拆线。
(6)各项参数简介
—f(%)比差
—δ(')角差
—Δu(%)压降相对值:
Δu(%)=![]()
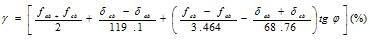
—γ(%)电能计量的合成误差:
对于三相三线:![]()
对于三相四线:![]()
g.测试结束
—f(%)比差
—δ(')角差
—Δu(%)压降相对值:
Δu(%)=![]()
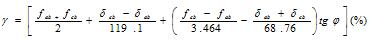
—γ(%)电能计量的合成误差:
对于三相三线:![]()
对于三相四线:

